Вводные упражнения 33 ГДЗ Колягин Ткачёва 8 класс (Алгебра)
Решение #1

Рассмотрим вариант решения задания из учебника Колягин, Ткачёва, Фёдорова 8 класс, Просвещение:
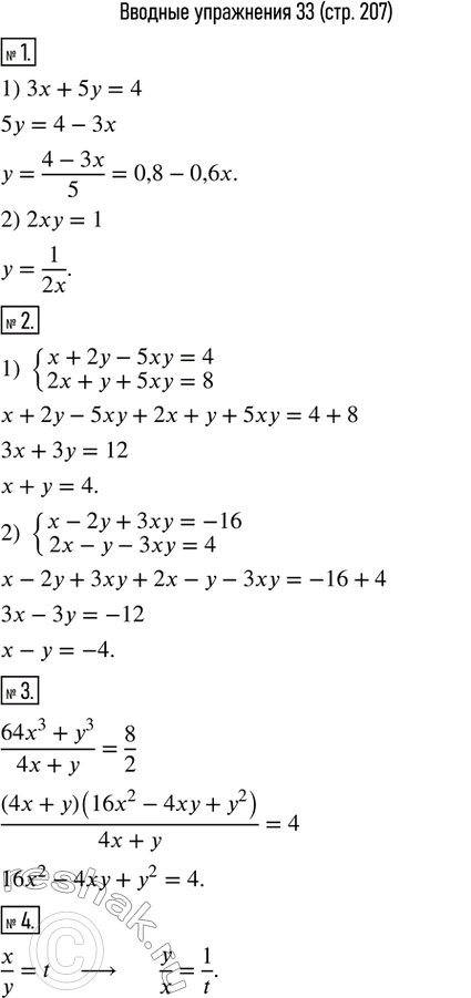
1. Выразить y через x: 1) 3x+5y=4; 2) 2xy=1.
2. Сложить почленно уравнения системы:
1) {(x+2y-5xy=4
2x+y+5xy=8)+
2) {(x-2y+3xy=-16
2x-y-3xy=4)+
3. Разделить уравнение 64x^3+y^3=8 на уравнение 4x+y=2.
4. Известно, что x/y=t. Выразить через t отношение y/x.
*размещая тексты в комментариях ниже, вы автоматически соглашаетесь с пользовательским соглашением