Упр.469 ГДЗ Колягин Ткачёва 8 класс (Алгебра)
Решение #1

Рассмотрим вариант решения задания из учебника Колягин, Ткачёва, Фёдорова 8 класс, Просвещение:
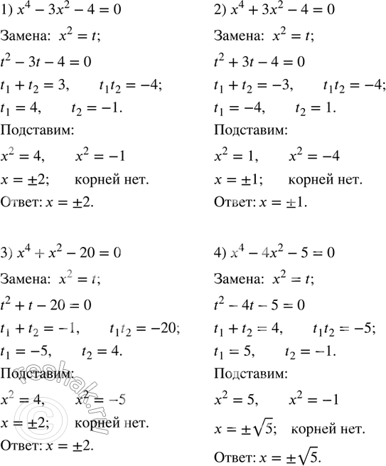
469. Решить уравнение:
1) x^4-3x^2-4=0;
2) x^4+3x^2-4=0;
3) x^4+x^2-20=0;
4) x^4-4x^2-5=0.
*размещая тексты в комментариях ниже, вы автоматически соглашаетесь с пользовательским соглашением