Упр.359 ГДЗ Колягин Ткачёва 8 класс (Алгебра)
Решение #1

Рассмотрим вариант решения задания из учебника Колягин, Ткачёва, Фёдорова 8 класс, Просвещение:
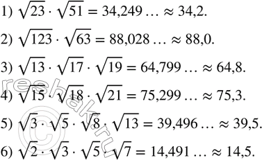
359. Вычислить на микрокалькуляторе с точностью до 0,1:
1) v23•v51;
2) v123•v63;
3) v13•v17•v19;
4) v15•v18•v21;
5) v3•v5•v8•v13;
6) v2•v3•v5•v7.
*размещая тексты в комментариях ниже, вы автоматически соглашаетесь с пользовательским соглашением