Упр.23 ГДЗ Колягин Ткачёва 8 класс (Алгебра)
Решение #1

Рассмотрим вариант решения задания из учебника Колягин, Ткачёва, Фёдорова 8 класс, Просвещение:
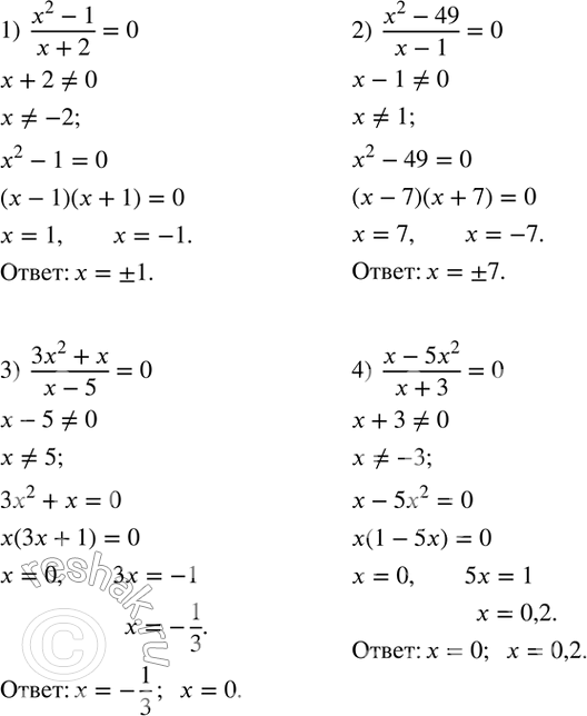
23. Решить уравнение:
1) (x^2-1)/(x+2)=0;
2) (x^2-49)/(x-1)=0;
3) (3x^2+x)/(x-5)=0;
4) (x-5x^2)/(x+3)=0.
*размещая тексты в комментариях ниже, вы автоматически соглашаетесь с пользовательским соглашением