Упр.223 ГДЗ Колягин Ткачёва 8 класс (Алгебра)
Решение #1

Рассмотрим вариант решения задания из учебника Колягин, Ткачёва, Фёдорова 8 класс, Просвещение:
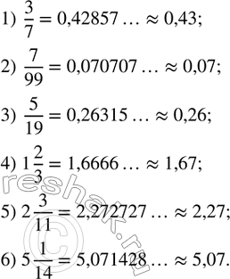
223. Представить в виде десятичной дроби с точностью до 0,01 число:
1) 3/7; 2) 7/99; 3) 5/19; 4) 1 2/3; 5) 2 3/11; 6) 5 1/14.
*размещая тексты в комментариях ниже, вы автоматически соглашаетесь с пользовательским соглашением